- 12.01.2014
- 2016 Просмотров
- Обсудить
Математик Мухтарбай Отелбаев частично решил одну из задач тысячелетия, связанную с уравнениями Навье-Стокса – это система дифференциальных уравнений в частных производных, описывающих движение вязкой ньютоновской жидкости. Эти уравнения являются одними из важнейших в гидродинамике и применяются в математическом моделировании многих природных явлений, а также технических задач. Считается, что они описывают многие типы турбулентных потоков в динамике газа и жидкости.
В задаче, которую решал ученый, нужно было определить условия, при которых у системы уравнений Навье-Стокса есть достаточно хорошие (в математическом смысле) решения. Для каждого начального набора параметров такое решение единственно.

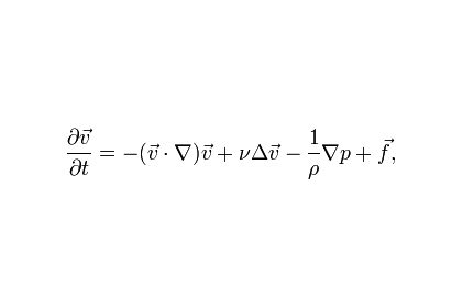
Уравнения Навье-Стокса для несжимаемой жидкости
Вопрос существования и единственности решений является одним из семи задач тысячелетия. За решение каждой из этих задач математический институт Клэя объявил приз в 1 миллион долларов. В настоящее время решена только одна из семи проблем тысячелетия (гипотеза Пуанкаре) Григорием Перельманом. Правда, от награды ученый отказался.
Отелбаеву удалось найти условия на существование «сильных» решений. Основное преимущество этой работы в том, что ученый не только описывает очень хорошие решения, но и утверждает, что они есть в необходимом количестве для дальнейшей работы.
Правда, решению предстоит ещё пройти проверку научного сообщества. Пока работа, представленная казахстанским ученым, официально не признана решением задачи, связанной с уравнением Навье-Стокса.
Подписывайтесь на наш Telegram, «X(twitter)» и «Zen.Yandex», «VK», «OK» и новости сами придут к вам..
Подписывайтесь на наш Telegram-канал, «X(twitter)» и «Zen.Yandex», «VK», «OK» и новости сами придут к вам..
Похожие материалы
Будь-те первым, поделитесь мнением с остальными.
Читать далее
Читать далее
Читать далее
Читать далее
